核心观点
12月半导体行业表现相对较弱。2024年12月国内半导体行业(中信)下跌0.29%,同期沪深300上涨0.47%,半导体行业(中信)年初至今上涨24.63%;12月费城半导体指数上涨1.08%,同期纳斯达克100上涨0.39%,年初至今费城半导体指数上涨19.27%。
全球半导体月度销售额继续同比增长,存储器月度价格环比回落。2024年11月全球半导体销售额同比增长20.7%,连续13个月实现同比增长,环比增长1.6%;根据WSTS的预测,上调预测2024年全球半导体市场销售额同比增长19%,预计2025年将同比增长12.5%。下游需求呈现结构分化趋势,消费类需求在逐步复苏中,根据Canalys的数据,全球智能手机出货量24Q3同比增长5%,全球PC出货量24Q3同比增长1.3%,预计AI手机及AI PC渗透率快速提升,全球可穿戴腕带设备出货量24Q3同比增长3%,全球TWS耳机出货量24Q3同比增长15%。全球部分芯片厂商24Q3库存水位环比基本持平,国内部分芯片厂商24Q3库存水位环比继续下降,库存持续改善;晶圆厂产能利用率24Q3环比持续回升,预计24Q4有望继续提升。2024年12月DRAM与NAND Flash月度现货价格环比回落,整体进入调整阶段。全球半导体设备销售额24Q3同比增长19%,中国半导体设备销售额24Q3同比增长17%,2024年11月日本半导体设备销售额同比增长35.2%,环比增长5.2%;SEMI预计2024年全球半导体设备销售额同比增长3.4%,2025年继续增长17%。全球硅片出货量24Q3同比增长6.8%,环比增长5.9%;根据SEMI的最新预测,2024年全球硅晶圆出货量预计下降2%,2025年将强劲反弹10%。综上所述,我们认为目前半导体行业仍处于上行周期,AI为推动半导体行业成长的重要动力。
投资建议。根据火山引擎2024冬季force原动力大会披露的数据,豆包大模型的日均调用量在高速增长,2024年5月豆包大模型的日均tokens调用量为1200亿,7月增长到5000亿,9月达1.3万亿,截止2024年12月15日已经突破了4万亿,在7个月的时间里增长超过33倍。豆包大模型在各个场景都在全面的开发,在信息处理场景,最近三个月豆包的调用量增长了39倍,它能帮助企业更好的去分析和处理数据。字节跳动豆包为国内领先AI大模型,豆包AI生态加速发展,有望引领国内大模型厂商发力AI生态,进而推动国产厂商加大AI算力投资,建议关注AI算力芯片、铜连接、PCB、服务器电源、液冷系统等AI算力产业链投资机会。
风险提示:下游需求不及预期,市场竞争加剧风险,国内厂商研发进展不及预期,国产化进度不及预期,国际地缘政治冲突加剧风险。
报告正文
1. 2024年12月半导体行业市场表现情况
国内12月半导体行业表现相对较弱,走势弱于沪深300。2024年12月电子行业(中信)上涨0.83%,12月沪深300上涨0.47%,电子行业走势强于沪深300指数。半导体行业(中信)12月下跌0.29%,走势弱于沪深300,其中集成电路上涨4.19%,分立器件下跌6.29%,半导体材料下跌11.35%,半导体设备下跌11.75%;半导体行业(中信)2024年上涨24.63%。

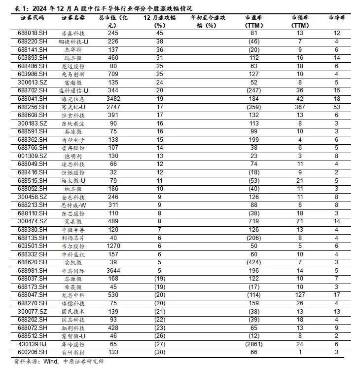
2024年12月半导体板块个股上涨家数少于下跌家数, 2024年12月涨幅排名前十的公司分别为乐鑫科技(45%)、翱捷科技-U(38%)、杰华特(36%)、瑞芯微(31%)、龙迅股份(25%)、兆易创新(25%)、富瀚微(24%)、盛科通信-U(20%)、海光信息(19%)、寒武纪-U(17%)。

2024年12月费城半导体指数表现强于纳斯达克100。2024年12月费城半导体指数上涨1.08%,12月纳斯达克100上涨0.39%,费城半导体指数走势强于纳斯达克100,2024年费城半导体指数上涨19.27%。

2024年12月美股半导体板块上涨家数少于下跌家数,2024年12月涨幅排名前十的公司分别为Atomera(88%)、SkyWater Technology(74%)、奇景光电(49%)、快辑半导体(48%)、博通(43%)、Aehr Test Systems(40%)、Credo Technology(37%)、Peraso(32%)、Valens Semiconductor(32%)、阳光动力(31%)。

2. 全球半导体月度销售额继续同比增长,存储器月度价格环比回落
2.1. 全球半导体月度销售额继续同比增长
2024年11月全球半导体销售额同比增长20.7%,环比增长1.6%。根据美国半导体行业协会(SIA)的数据,2024年11月份全球半导体销售额约为578美元,同比增长20.7%,连续13个月实现同比增长,环比增长1.6%,连续8个月实现环比增长。2024年11月,从地区来看,同比增长上,美洲(54.9%)、中国(12.1%)、亚太/所有其他地区(10.0%)和日本(7.4%)的同比销售额均有所增长,但欧洲有所下降(-5.7%);环比增长上,美洲(4.4%)和亚太/所有其他地区(1.5%)的环比销售额有所增长,但中国(-0.1%)、欧洲(-0.7%)和日本(-0.8%)的环比销售额有所下降。

2024年11月中国半导体销售额同比增长12%,环比下降0.1%。根据美国半导体行业协会(SIA)的数据,2024年11月中国半导体行业销售额为162亿美元,同比增长12%,连续13个月实现同比增长,环比下降0.1%,连续9个月实现环比增长。

WSTS 上调2024年全球半导体市场销售额预测,预计将实现19%的同比增长。根据世界半导体贸易统计组织(WSTS)的最新预测,预计全球半导体市场2024年和2025年将强劲增长,上调预测2024年全球半导体市场总销售额将达到6270亿美元,同比增长19%;这一增长预测反映出 2024 年第二季度和第三季度业绩有所改善,尤其是在计算领域。2024 年的增长主要由两个集成电路领域推动:内存(预计增长 81.0%)和逻辑(预计增长 16.9%);同时,分立器件、光电子器件、传感器和模拟半导体等其他类别预计将出现下滑。从地区来看,美洲和亚太地区将引领复苏,预计增长率分别为 38.9% 和 17.5%;相比之下,日本预计将实现 1.4% 的温和增长,而欧洲可能面临 6.7% 的下滑。
WSTS 预计2025年全球半导体市场销售额将持续稳定增长。根据WSTS的预测,预计2025年全球半导体市场销售额将达到6874亿美元,同比增长12.5%;这一增长主要由存储器和逻辑集成电路所推动,预计2025年存储器行业有望同比增长达25%,逻辑集成电路预计同比增长10%,其他细分市场如分立器件、光电子器件、传感器和模拟半导体等预计将实现个位数的同比增长率。在地域分布上,2025年全球各地区都准备继续扩张,其中美洲和亚太地区预计将保持两位数的同比增长。

全球AI芯片、存储器厂商24Q3业绩表现亮眼,工业、汽车等市场需求复苏低于预期。近期部分全球15大芯片厂商公布了24Q3季报,其中有9家24Q3营收实现同环比增长。受益于生成式AI对AI芯片、HBM、DDR5及大容量NAND Flash的强劲需求,全球AI芯片厂商英伟达、博通,以及存储器IDM厂商三星、SK海力士、美光24Q3业绩表现亮眼,营收同环比大幅增长。由于工业市场需求调整时间长于预期,以及汽车行业增速放缓等因素影响, TI、意法半导体、恩智浦24Q3营收同比下降。


2.2. 消费类需求逐步复苏,预计AI手机及AI PC渗透率将快速提升
全球半导体下游需求呈现结构性特征,消费类需求占比较高。根据SIA的数据,2022年全球半导体下游应用领域中计算机占比31.5%、通信占比30.7%、汽车占比12.4%、消费电子占比12.3%、工业占比12%、政府占比1%。由于消费类下游占比较高,目前智能手机、PC等消费类需求均处于恢复中。

2.2.1. 全球智能手机季度出货量延续增长趋势,预计AI手机市场份额未来几年将快速提升
24Q3全球智能手机出货量同比增长5%,延续增长趋势。根据Canalys的数据, 2024年第三季度,全球智能手机出货量同比增长5%,达到3.099亿台,是自2021年以来表现最强劲的三季度。得益于各大智能手机品牌积极推出的具有较高性价比的新产品组合,以及更新周期和消费者信心增强的推动下,促使本季度出货量的增长。

24Q3三星、苹果、小米、OPPO、vivo市场份额位列前五位。根据Canalys的数据,2024年第三季度三星精简其入门级产品线,以5750万台出货量位居第一;苹果的iPhone 16系列在新兴市场表现强劲,且基础款和Pro款硬件差距缩,出货量创5450万台的历史记录,位居第二;小米受益于在核心市场的新产品库存策略,以4280万台出货量和14%的市场份额位居第三;OPPO和vivo分别以2860万和2720万台的出货量排名第四和五,在竞争激烈的亚太地区表现稳健。

24Q3国内智能手机出货量同比增长4%,vivo蝉联国内市场份额第一。根据Canalys的数据, 2024年第三季度,中国大陆智能手机市场在暑期及开学购机旺季的推动下延续了反弹的步伐,出货量同比增长4%至6910万台;其中vivo蝉联榜首,市场份额高达19%,vivo中端新品的发布稳固了线下渠道的销售,而线上渠道持续拓展,整体出货量同比增长25%至1300万台;华为以1080万台的出货量和16%的份额位居次席,同比增长24%,通过积极的渠道策略维持旗舰产品的销售;荣耀以1030万的出货量排名第三,尽管折叠屏产品获得热捧,整体仍同比下滑13%,扩张期遇挑战;小米排名更进一步,达到第四,份额为15%,其在人、车、家生态策略的驱动下圈定了更广泛和稳固的用户群体,出货量同比增长13%至1020万台;尽管苹果出货量同比下跌6%,但重回第五,在Apple Intelligence服务暂时缺位的情况下,iPhone 16系列的需求仍将展现出韧性。

IDC上调预测2024年全球智能手机出货量将同比增长5.8%。根据IDC的最新预测,预计2024年全球智能手机出货量将同比增长5.8%,至12.3亿部,而此前IDC的预测增长4%至12.1亿部。IDC表示在经历了艰难的两年后,价格实惠的安卓智能手机在新兴市场继续快速增长,而高端市场开始接受GenAI智能手机,激发了人们对该行业的兴奋和新兴趣。

2024年11月国内市场手机出货量同比下降5.1%,国产品牌手机出货量同比增长4.4%。根据中国信通院的数据,2024年11月,国内市场手机出货量2960.6万部,同比下降5.1%,其中,5G手机2731.9万部,同比增长0.8%,占同期手机出货量的92.3%。2024年11月,国产品牌手机出货量2657.1万部,同比增长4.4%,占同期手机出货量的89.7%;上市新机型38款,同比增长58.3%,占同期手机上市新机型数量的95.0%。

受益于AI大模型的赋能,智能手机将迎来AI新时代。通过AI技术赋能智能手机可以追溯至2017年,安卓厂商开始在其SoC平台中加入独立的 AI计算单元,用于运行和影像增强相关的深度学习模型,随后AI技术逐渐被手机厂商用于更多方面,如强化安全、优化续航、提升网络性能等,但计算、摄影一直是其最主要的应用领域,直到大模型被装进智能手机,手机AI应用从中小模型时代跨越至大模型时代。有了大模型的加持,在人机交互层面,新的多模态交互将取代传统的触控屏交互,用户可以更自然的与手机沟通;多模态输入和输出能力相结合,可以极大强化智能手机的生产力工具属性,既可以基于多种形式的输入信息,生成用户需要的图表、文本、音乐、图片甚至是视频,也可以对输入的图片、视频进行编辑。

AI手机可以通过端侧部署AI大模型实现多模态内容生成、情境感知,能更自然的进行交互,并内嵌专属智能体。AI手机应具有创作能力、自学习能力、真实世界感知能力、算力高效利用能力。

2024年生成式AI将成为智能手机厂商的重要战略,行业领导者引领AI技术。随着三星发布全新的Galaxy S24智能手机,三星将生成式AI作为长期的产品策略,同时中国厂商小米、vivo、OPPO和荣耀等也已发布具备生成式AI能力的旗舰机型。2024年, AI将逐步从最初的产品层面的差异化上升至运营及公司层面的整体战略,各智能手机厂商均涉及其中。苹果、谷歌和三星等全球主要厂商以及荣耀、OPPO、小米和vivo等中国领先厂商都走在将生成式AI功能集成到其设备的前列;其战略各不相同,从开发专用AI芯片到加强利用AI的生态系统集成来提升用户体验。OPPO宣布将全面推进AI手机普及,2024年计划让约5000万用户的手机搭载生成式AI功能;并提出未来AI手机将通过全栈技术革新和生态重构,持续变革移动体验。

高通、联发科不断迭代支持端侧AI大模型手机的SoC芯片,NPU算力不断提升。2024年10月22日,高通发布了新一代移动端旗舰SoC骁龙8 Elite,骁龙8 Elite采用第二代定制高通 Oryon CPU,由2个4.32 GHz 的“超级内核”和6个3.53 GHz的“性能内核”组成,单核性能提升40%,多核性能提升42%;图形方面,搭载了Adreno 830 GPU,峰值性能提升44%;AI能力方面,采用全新架构的Hexagon NPU, AI性能提升45%,算力达80TOPS,并支持端侧多模式AI。2024年10月9日,联发科正式发布天玑9400,天玑9400的CPU架构采用第二代全大核架构,包含1个主频高达3.62GHz的Cortex-X925超大核、3个Cortex-X4超大核和4个Cortex-A720大核,其单核性能相较上一代提升了35%,多核性能提升了28%;搭载12核Arm Immortalis-G925 GPU,峰值性能提升了41%,功耗降低了44%;AI方面采用全新第八代AI处理器NPU 890,AI功耗相比天玑9300降低了35%。

安卓手机厂商已陆续发布AI手机,但目前AI功能仍为基础性应用。随着三星发布全新的Galaxy S24智能手机,三星将生成式AI作为长期的产品策略,同时中国厂商华为、小米、vivo、OPPO和荣耀等也陆续发布具备生成式AI能力的旗舰机型。目前安卓手机厂商旗舰机型的AI功能主要支持通话实时翻译、通话及会议摘要、语音识别与文本生成、AI写作、AI修图等,AI功能仍为基础性应用。

苹果推出Apple Intelligence,加速终端变革。2024年6月11日,在WWDC 2024上,苹果发布全新的个人智能系统——Apple Intelligence,Apple Intelligence将整合自有模型及OpenAI的GPT-4o模型,Apple Intelligence注重用户的隐私安全,强调在端侧处理信息和计算,以及通过私有云计算技术保护用户的个人信息;Apple Intelligence将随iOS 18、iPadOS 18及macOS Sequoia免费提供,在iPhone 15 Pro、配备M1芯片的iPad和Mac以及后续机型上支持。

苹果Apple Intelligence优势突出,有望引领新一轮换机潮。Apple Intelligence能够帮助用户自动撰写文本、管理通知、总结邮件和创造与编辑图像等。Siri在Apple Intelligence的加持下,能够更自然地与用户对话,理解上下文、更贴合语境;具有屏幕感知功能,能理解屏幕上的内容,根据用户的指令执行相关操作;并具备跨APP执行操作的能力。跨APP操作应用例子如下,用户可以要求Siri从邮件中提取信息并添加到日历中;根据用户要求对照片进行编辑,并将编辑好的照片插入到笔记应用中;跨APP操作可以提供全面的旅行服务,从详细的行程规划到即时预订,用户可以通过Siri预订机票,Siri可将航班时间信息输出给打车及酒店APP等,实现一站式预订。Apple Intelligence初步具备了个人智能助手的功能,优势突出,有望引领新一轮换机潮。

2024年将是AI手机爆发的元年,预计未来几年AI手机市场份额将快速提升。根据Canalys的预测,预计2024年全球智能手机出货量中16%为AI手机,预计2028年渗透率将快速提升至54%;受消费者对AI助手和端侧处理等增强功能需求的推动,2023-2028年AI手机市场年均复合增长率将达到63%。预计这一转变将先出现在高端机型上,然后逐渐为中端智能手机所采用,反映出端侧生成式AI作为更普适性的先进技术渗透整体手机市场的趋势。

端侧大模型参数规模或继续增长,有望推动存储器容量需求大幅提升。目前OPPO Find X8 系列、vivo X200系列、以及荣耀Magic 7系列等AI手机已经成功实现70亿参数规模大模型的本地部署,预计AI算力将是未来SoC升级的重中之重,从而使端侧有望部署更大规模的大模型。根据Counterpoint的预测,预计2024年端侧大模型参数量将达到130亿,预计2025 年将增长至170亿。目前一般的智能手机搭载8GB内存,支持端侧大模型的AI手机需要更大容量的内存,并且随着大模型参数量提升,所需内存容量也随之增长。IDC及OPPO表示,16GB DRAM将成为新一代AI手机的基础配置。目前华为Mate 70系列、小米15系列、OPPO Find X8系列、vivo X200系列、以及荣耀Magic 7系列等AI手机已经支持16GB LPDDR5X,随着端侧大模型参数规模的继续增长,有望推动存储器容量需求大幅提升。

AI手机搭载大模型并带来大量计算需求,散热方案有望迎来升级趋势。智能手机的散热方案随着技术的发展而不断演进,目前在智能手机上已经建立由液冷、VC均热板、硅脂、石墨烯、金属中框等组成的散热体系。随着端侧AI大模型参数量持续增加,以及AI算力的不断提升,AI手机在运行AI应用时产生的热量也将逐步增加,需要更高效的散热解决方案来保证AI手机的性能及稳定性,AI手机散热方案有望迎来升级趋势。三星Galaxy S24 Ultra对散热系统进行了全面升级,其中VC均热板比上代扩大了 1.9 倍,近乎翻倍的散热面积能够更好的控制机身温度,以更稳定的高性能输出为AI应用和游戏运行保驾护航。

AI手机需要不断完成推理任务而带来高能耗需求,有望推动AI手机续航能力持续升级。一般智能手机采用的电池负极材料主要是石墨,石墨负极的理论克容量大约在360-370mAh/g,而硅碳负极的理论克容量可以超过4200mAh/g,远高于石墨,硅碳负极因其高理论克容量可以提供更高的能量密度,从而增加电池的续航能力。小米及荣耀最新一代的AI手机都采用硅碳负极电池,带来了更长的续航能力;小米15搭载的金沙江电池采用最新一代硅碳负极技术,电量提升至5400mAh,比上代直接增加了790mAh,能量密度提升到了850Wh/L,是小米史上最高;小米15 Pro内置了一块6100mAh的超大容量电池,这也是小米迄今为止最大的电池容量;荣耀Magic7 Pro搭载第三代青海湖电池,采用新型硅碳负极材料和全面升级的电化学体系,使得能量密度提升到了行业领先水平,电量达到5850mAh。

2.2.2. AI PC产业生态加速迭代升级, AI PC或成为推动全球PC出货量恢复增长的重要动力
全球PC出货量24Q3同比增长1.3%,延续复苏态势。根据Canalys的数据, 2024年第三季度,全球PC市场连续四个季度实现增长,台式机、笔记本和工作站的总出货量增长1.3%,达到6640万台;笔记本(包括移动工作站)的出货量达到5350万台,增长2.8%,而台式机(包括台式工作站)的出货量则下跌4.6%,达1290万台;预计未来12个月将继续保持强劲增长,主要由于2025年10月Windows 10服务终止前,仍有大量的Windows PC装机需求。

24Q3全球PC市场厂商前五名分别为联想、惠普、戴尔、华硕和苹果。根据Canalys的数据,2024年第三季度,联想位居榜首,全球出货量达到1650万台,同比增长3%,这得益于2023年第三季度后,联想出货量持续强劲;惠普紧随其后,全球出货量为1350万台,与去年同期持平;戴尔保持第三位,其出货量同比下降4%至980万台;华硕位列第四,凭借16%的同比增长成为头部厂商中增速最快的厂商;苹果则排在第五,出货量为510万台。

Windows更新周期及AI PC有望推动全球PC出货量2024年恢复增长。在节日旺季和宏观经济改善的推动下,全球PC出货量在连续七个季度下跌后迎来复苏,根据Canalys的预测,预计2024年全球PC出货量将达到2.67亿台,较2023年同比增长8%,这主要受益于Windows的更新周期,以及具备AI功能的PC(AI PC)和采用Arm架构电脑的崛起。根据Canalys的预测,预计2024年中国PC市场将迎来反弹,同比增长达到3%,预计2025 年同比增长10%,这主要得益于商用市场的换机需求;由于数字化进程的深入和渗透率的提高,平板电脑市场预计在2024年和2025年都将增长4%。

AI PC是端侧AI落地的重要应用场景,将推动PC产业生态加速迭代。具备AI功能的个人电脑(AI PC)的问世有望重振市场并改变用户体验,将专用的AI加速硬件集成到PC中,可以在效率、生产力、协作和创造力方面实现惊人的创新。Canalys 提出AI PC需要具备专用芯片组/块以承载端侧的 AI 运行负载。微软和英特尔联合提出AI PC的定义,即AI PC需要配备NPU、CPU和GPU,并支持微软的Copilot,且键盘上直接配有Copilot物理按键(该键取代了键盘右侧第二个Windows键)。AI PC是终端、边缘计算和云技术的颠覆性混合体,它不仅重新定义生产力,也将推动PC产业生态加速迭代。

英特尔、AMD等芯片厂商持续迭代适用于AI PC的处理器芯片,NPU算力不断提升。2024年9月4日,英特尔发布超高能效的x86处理器家族——英特尔酷睿Ultra 200V系列处理器,CPU、NPU和GPU的整体平台算力高达120 TOPS,在实现跨模型和引擎的同时提供极具兼容和性能的AI体验,整体功耗降低了50%,使搭载该处理器为AI PC带来超前的低功耗表现。2024年6月4日,AMD为下一代 AI PC推出锐龙AI 300 系列处理器,采用全新的“Zen 5”架构,配备高达12颗高性能CPU核心和24个线程;采用基于全新 AMD XDNA 2 架构的专用AI引擎,NPU拥有50 TOPS的AI处理能力;采用全新的AMD RDNA 3.5图形架构,配备最新的AMD Radeon 800M系列显卡,带来流畅的帧速率和3A游戏体验。英特尔、AMD、高通和苹果等芯片厂商持续迭代适用于AI PC的处理器芯片,联想、惠普等PC厂商密集发布AI PC新品。

联想、惠普等PC厂商密集发布AI PC新品。AI PC是终端、边缘计算和云技术的颠覆性混合体,它不仅重新定义生产力,也将推动PC产业生态加速迭代。头部PC厂商视AI PC为重要的创新机会,PC行业迎来iPhone时刻。随着英特尔、 AMD等芯片厂商陆续推出适用于AI PC的计算芯片,以及Windows向Windows11过渡,头部PC厂商联想、惠普、戴尔、苹果、宏碁、华硕、三星、荣耀、华为等都在2024年陆续推出全新的AI PC产品。

微软推出AI PC新品 Copilot+PC。2024年5月21日,微软推出搭载Copilot功能及Windows 11的全新AI PC产品Copilot+PC,宣布将AI助手Copilot全面融入Windows系统。除了Surface产品外,主要合作伙伴Dell、联想、三星、HP、Acer、Asus都会推出Copilot+PC产品。首批Copilot+PC笔电采用高通骁龙X Elit与 X Plus,NPU算力达到45 TOPS。

Copilot支持GPT-4o,提供丰富的AI功能。Copilot支持OpenAI的GPT-4o模型,能够为用户提供实时语音、语言翻译、实时绘画、文本、图片生成等创新功能;支持回顾功能,可以帮助用户找到此前在 PC 上浏览过的内容或是处理过的任务,其具有一个时间轴,用户能够直接拖动找到自己需要的准确时间点的操作记录,还可以直接删除AI记录的内容,并且所有这些操作都是在端侧处理,充分保护用户的隐私;支持实时翻译功能的实时字幕,能够将视频和音频中的语音实时翻译成英文字幕,目前支持40多种语言翻译的实时字幕;支持文档编辑与总结,可以帮助用户编辑文档,如对文字内容进行润色、调整格式等,还能够分析电脑本地的文件、表格、数据,并为用户总结一份文档的要点,提高用户的工作效率。

众多品牌的Copilot+PC已上市,市场份额有望快速提升。Copilot+ PC需要具备至少40 TOPS的NPU,来支持AI功能,首批Copilot+PC笔电采用高通骁龙X Elit与X Plus,英特尔酷睿Ultra 200V系列及AMD锐龙AI 300也满足Copilot+PC的算力需求。目前联想、HP、Dell、三星等众多品牌的Copilot+ PC已上市,Copilot支持丰富的AI功能,Copilot+ PC的市场份额有望快速提升。

AI PC元年或开启,渗透率有望快速提升。对 Windows 10 的支持已经接近尾声,这将推动 2024 年至 2025 年的重要更新周期,为用户迁移到AI PC提供了机会,PC率先走进AI舞台中央,成为个人拥抱AI的第一入口。根据Canalys的预测,2024 年全球AI PC 出货量将达到 5100 万台,占全球PC总出货量的 19%;随着 AI 功能的优势日渐明显,商业应用将激增,预计2026年AI PC出货量将达到1.54亿台,占PC总出货量的55%;受益于换机动能和全新的用户体验,预计 2028 年AI PC出货量将达到2.08亿台,占PC总出货量的71%,2024 年至 2028 年AI PC出货量的复合年增长率将达到42%。

AI PC有望推动高端PC市场收入增长。AI PC集成了专用于AI的加速器,将释放出高生产力、个性化及能效方面的新功能,颠覆整个PC市场,并为厂商及其合作伙伴带来显著的价值收益。根据Canalys的预测,与未集成 NPU 的传统 PC 相比,AI PC 将溢价 10%-15%;随着采用率的激增,到2025年底,价格在800美元及以上的PC将有一半以上是AI PC,到2028年,这一比例将增至80%以上。因此,800美元及以上的PC出货量将在短短四年内增长到市场的一半以上,这将有助于推动PC出货的整体价值从2024年的2250亿美元增长到2028年的2700亿美元以上。

2.2.3. 全球可穿戴腕带设备季度出货量实现同比增长,端侧AI在可穿戴设备落地
24Q3全球可穿戴腕带设备出货量同比增长3%。根据Canalys的数据, 2024年第三季度,全球可穿戴腕带设备出货量达5290万台,同比增长3%;三大品类的出货量(基础手环、基础手表和智能手表)同比有所上涨,在近期发布的小米手环9和三星Galaxy Fit3的推动下,基础手环市场自2020年第三季度以来首次恢复增长,同比增幅达7%,出货量为1040万台;随着印度市场需求放缓,基础手表市场开始趋于平稳,同比增长3%,出货量2390万台;由于华为和三星的增幅与苹果出货量的下滑相互抵消,智能手表出货量1850万台,同比增长0.1%。

Canalys预计2024年全球可穿戴腕带设备出货量同比增长5%。根据Canalys的数据,2023年全球可穿戴腕带设备出货量为1.85亿台,同比增长1.4%。根据Canalys的预测,预计2024年全球可穿戴腕带设备市场的出货量将增长5%,总量将达到1.94亿台;尽管2024年第一季度出货量略降0.2%,但得益于智能手表市场的复苏,同比增长4%,以及基础手表细分市场的持续回暖,同步增长高达10%,预计整体市场将在年底前强力反弹;然而,基础手环的市场在2024年持续下降6%。

24Q3全球TWS耳机出货量同比增长15%。根据Canalys的数据,2024年第三季度,全球个人智能音频市场(包括TWS、无线颈挂式耳机和无线头戴式耳机)总出货量达到1.26亿部,同比增长15%;其中TWS市场延续增长态势,实现15%的同比增幅,出货量攀升至9230万台。

24Q3苹果、三星、boAt、小米和华为位列全球TWS耳机市占率前五名。根据Canalys的数据,2024年第三季度,由于苹果三季度末发布AirPods 4及ANC版本,继续以21%的份额稳坐第一的宝座;三星则凭借新品Galaxy Buds 3系列的强劲表现,以9%的份额位列第二;boAt利用印度市场的销售旺季,首次位列第三,市场份额增长至8%,同比增幅达到45%;中国厂商小米和华为,凭借其在入门级产品持续迭代迭代以及开放式产品线的布局,均保持大两位数的同比增长,分别位列第四第五。

Ray-Ban Meta发布后热销,引发大量厂商进入AI眼镜市场。2023年9月,Meta联合雷朋推出Ray-Ban Meta智能眼镜,Ray-Ban Meta为眼镜增加了摄像、耳机,以及AI功能。用户可以通过语音与Meta AI进行互动,获取各种信息和服务;支持英语、西班牙语、意大利语、法语和德语之间的互译,能够翻译所拍摄到的标识和文字,并以对应的语言念出来。产品发布后至2024年上半年,Ray-Ban Meta眼镜出货量已经超过100万台。百度已发布小度AI眼镜,计划2025年上半年上市,小米、三星、雷鸟、大朋VR等厂商也将进入AI眼镜市场。

百度发布全球首款搭载中文大模型的原生AI眼镜。2024年11月12日,百度正式发布小度AI眼镜,称该产品为“全球首款搭载中文大模型的原生AI眼镜”。小度 AI 眼镜具备第一视角拍摄、边走边问、卡路里识别、识物百科、视听翻译、智能备忘等功能。小度AI眼镜支持文心大模型,对接百度地图、搜索、百科等百度应用生态,预计将于2025年上半年正式上市。

耳机有望成为AI交互新入口,AI耳机出货量快速增长。耳机作为手机生态的延伸,用户可以通过耳机接听电话、控制音乐、使用语音助手和健康监测等功能,耳机具有语音交互的优势,有望成为AI交互的新入口。AI耳机市场吸引众多厂商布局,科大讯飞、三星、字节跳动、华为等厂商已发布AI耳机新产品。2024年10月,字节跳动豆包发布AI智能体耳机Ola Friend,Ola Friend接入了豆包大模型,可以在五大场景中提供高度生活化的AI服务,包括随身百事通、英语陪练、旅行导游、音乐DJ和情绪加油站等。2024年11月,华为发布全新旗舰耳机华为FreeBuds Pro4,作为首款原生鸿蒙耳机,FreeBuds Pro4在强大的AI底座和盘古大模型5.0的支持下,小艺智慧助手升级为小艺智能体,成为用户耳边的AI全能助理,用户无需解锁手机,仅通过语音或手势即可唤醒小艺智能体,轻松完成日常操作,带来前所未有的便捷体验。根据洛图科技的数据,2024年8月,中国在线电商平台的AI耳机虽然在耳机/耳麦总销售额中仅占1.4%,但销量同比增长763.3%,销售额翻了近14.5倍,预计2024年中国AI耳机的电商市场销量有望突破20万副,同比增长488.7%。

2.2.4. 苹果Vision Pro开启空间计算时代,有望助力2024年全球XR 市场恢复增长
苹果Vision Pro正式发售,是当前最强大的MR头显设备。日前苹果正式发售首款MR设备Vision Pro,Vision Pro 采用 Apple M2和 R1双处理器架构,主处理器M2 芯片提供了强大的计算能力和快速的处理速度,协处理器R1芯片主要用于处理传感器数据,负责控制设备的多个摄像头、传感器和麦克风,R1 能够在 12 毫秒内将图像传输到显示屏,提供几乎无延迟的实时浏览体验;配备有 12 个摄像头、5 个传感器和 6 个麦克风,用于实时捕捉头部和手部的动作、进行眼球追踪、语音识别,提供沉浸式的交互体验;采用2300 万像素的 Micro OLED 显示屏,拥有超过 4K 的单眼分辨率,具有高分辨率、高对比度和高响应速度,带来极致的视觉体验;采用全新的三片式 Pancake 光学解决方案,使用三个透镜折射光线,从而降低色差并提高图像分辨率。Vision Pro性能突出,是当前最强大的MR头显设备。

Vision Pro采用眼球运动、手势、语音自然交互方式,引领人机交互革命。Vision Pro采用眼球运动、手势、语音命令自然的交互方式,操作过程无需手柄。Vision Pro自然的交互方式在硬件上通过12 个摄像头、5 个传感器、6 个麦克风、以及M2和 R1双处理器支撑,12颗摄像头包括2颗RGB摄像头、4颗内部红外摄像头、2颗外侧视角摄像头、4颗下侧视角摄像头,4颗内部红外摄像头可实现虹膜识别、眼球追踪功能,5个传感器包括LiDAR激光雷达、深度摄像头以及环境传感器等,这些传感器可以实现3D环境感知建模、手势识别功能,6 个麦克风可以支持语音识别。Vision Pro可以通过眼球追踪选中、凝视确认,捏合、拖拽等手势实现控制,或者直接语音命令。Vision Pro在交互体验方面实现了突破,通过先进的传感器和AI技术,用户可以在虚拟世界中自由操作,与虚拟对象进行互动。Vision Pro重新定义XR设备交互方式,引领人机交互革命。

空间计算是3D空间中全新的人机交互模式,Vision Pro开启空间计算时代。传统的人机交互模式一直是基于屏幕界面的,例如PC、智能手机、游戏机等。空间计算(spatial computing)是一种新兴的计算模型,空间计算的“空间”是指人类生活的物理空间。不同于3D建模与数字设计等领域,空间计算是包括所有关联人、虚拟人物、机器人在内实现现实与虚拟世界交互的软硬件技术,它的本质是虚拟与现实的深度融合,实现数字世界和现实世界的无缝对接,让两个世界可以相互感知和理解。空间计算将带来一种全新的交互模式,即在真实3D空间中的人机交互。Vision Pro 基于VisionOS,在macOS、 iOS和iPad OS的基础上建立,可实现强大的空间体验,是专为空间计算打造的操作系统。Vision Pro专为空间计算而设计的交互,可以用眼睛、手和声音控制Vision Pro。苹果公司CEO库克赋予Vision Pro划时代的历史意义:“如同Mac将我们带入个人计算时代,iPhone将我们带入移动计算时代,Apple Vision Pro将带我们进入空间计算时代。”Vision Pro有望成为新一代计算平台,开启空间计算时代。

开发者生态是Vision Pro强大的竞争优势,优质原生应用有望持续涌现。VisionOS基于 iOS 和 iPadOS 建立,本质上VisionOS上的应用程序开发就是iOS和iPad OS上的拓展,开发者可以使用 iOS 和 iPadOS 上已有的框架 ——SwiftUI、RealityKit、ARKit,来构建适用于 Vision Pro 的沉浸式体验。苹果简化了移植工作,iPhone和iPad应用可以快速在Vision Pro上运行。Vision Pro 的生态构建具有强大的优势,Vision Pro可以兼容iPhone和iPad应用,优质原生应用有望持续涌现。Vision Pro在全新的App Store中,目前有超过600种全新的空间体验可供探索,包括 OpenAI 的 ChatGPT,以及超过100万款兼容iOS和iPad应用程序。Vision Pro原生空间应用涵盖多种类型,按照分类来看,首发应用涵盖了沉浸式娱乐、工作生产力工具、购物以及运动健康等类型。

Vision Pro中长期有望成为年出货量达1000万的计算平台。Vision Pro定位为新一代计算平台,第一代Vision Pro与苹果的iPhone、Macbook等其他产品一样,发布之初就在设计、体验和价格方面远远超过同品类的竞争对手,第一代产品将为苹果及其供应链提供宝贵的产品反馈,之后产品持续迭代推出。根据Canalys的数据,iPhone在上市后第三年达到2000万的年出货量,第五年达到7000万的年出货量,Macbook在上市后第五年达到1000万的年出货量;随着用户群体逐渐建立并适应新计算平台,预计Vision Pro有望在上市后第四年到第五年达到1000万的年出货量。

Vision Pro有望助力2024年全球XR 市场恢复增长。2024年苹果正式发售Vision Pro,将延续2023年Meta和索尼分别推出Quest 3以及PlayStation VR2后引领行业的势头,苹果公司进入XR(包括VR、AR及MR)市场所引发的消费者兴趣将惠及市场上提供具价格竞争力头显的现有厂商,许多希望尝试该技术而被Vision Pro高昂价格劝退的发烧友将倾向于购买这一类头显,从而推动全球XR市场发展,Vision Pro有望助力2024年全球XR市场恢复增长。根据Counterpoint的预测, 全球XR头显出货量预计将在2024年增加390万台,创下历史高位,实现两位数的高同比增长。

2.2.5. 中国新能源汽车月度销量继续高速增长,中国汽车月度销量创历史新高
2024年11月中国汽车销量同比增长11.7%。根据中国汽车工业协会的统计数据,2024年11月中国汽车销量达到331.6万辆,同比增长11.7%,环比增长8.6%,月度产销创历史新高;汽车市场热度延续,以旧换新政策效果继续显现,购车需求进一步释放;乘用车市场表现持续走强,商用车市场表现相对疲弱,新能源汽车继续较快增长,起到较强支撑作用。
伴随政策累积效应不断显现,各地及企业促销活动持续发力,加之最后一月收尾冲刺,预计12月汽车市场将会持续向好,汽车产销2024全年将继续保持在3000万辆以上规模。中央政治局12月9日召开会议,分析研究2025年经济工作,明年政策环境依然偏暖,有利于汽车行业保持健康发展。我们继续呼吁相关促汽车消费政策明年继续延续,并及早出台。

2024年11月中国新能源汽车销量同比增长47.4%。根据中国汽车工业协会统计数据, 2024年11月,中国新能源汽车销量151.2万辆,同比增长47.4%,环比增长5.7%,新能源汽车新车销量达到汽车新车总销量的45.6%。

2.3. 全球部分芯片厂商季度库存水位环比基本持平,国内部分芯片厂商季度库存水位环比持续下降
全球部分芯片厂商24Q3库存水位环比基本持平。根据Wind的数据,全球部分芯片厂商包括英特尔、AMD、英伟达、高通、美光、TI、ADI、恩智浦、微芯、安森美2023年第二季度的平均库存周转天数为146天,2023年第四季度下降至143天,随后开始环比提升,2024年第二季度提升至159天,2024年第三季度为158天,环比基本持平;其中TI、微芯、安森美等主要受到工业市场需求不景气及汽车市场增速放缓等因素影响,库存还处于相对较高水平;随着下游需求的回暖,库存有望逐步下降。

国内部分芯片厂商24Q3库存水位环比持续下降。国内部分芯片厂商包括兆易创新、卓胜微、韦尔股份、澜起科技、晶晨股份、瑞芯微、北京君正、圣邦股份、紫光国微23Q1的平均库存周转天数达到351天,23Q2下降到298天,23Q3下降到268天,23Q4下降到243天,24Q1下降到240天,24Q2继续下降到219天,环比下降21天,24Q3继续下降至212天,环比下降7天。24Q3国内部分芯片厂商库存水位持续下降,预计后续有望逐步回到健康水平。

2.4. 晶圆厂产能利用率季度环比持续回升,预计24Q4有望继续提升
晶圆厂产能利用率24Q3环比持续回升。半导体市场需求自2022年三季度大幅下跌,导致芯片原厂流片意愿不强,晶圆厂的产能利用率也出现下滑;国内晶圆代工龙头中芯国际23Q1的产能利用率从22Q4的79.5%大幅下降至68.1%,23Q2至24Q4产能利用率在76%-78%区间波动,24Q1提升至80.8%,24Q2继续提升至85.2%,24Q3提升至90.40%。联电23Q1的产能利用率从22Q4的90%下降至70%,23Q2则小幅提升至71%,23Q3至24Q2产能利用率在65%-68%区间波动,24Q3提升至71%。华虹半导体23Q2产能利用率从23Q1的103.5%略微下降至102.7%,随后开始大幅下降,23Q4下滑至84.1%,24Q1大幅提升至91.7%,24Q2继续提升至97.9%,24Q3继续提升至105.3%;晶圆厂中芯国际、华虹、联电24Q3产能利用率环比继续回升,华虹24Q3已经恢复到满产。

群智咨询预计24Q4全球主要晶圆厂平均产能利用率环比将持续回升。根据群智咨询的数据,2024年第三季度主要晶圆厂平均产能利用率约80%,同比增长约5个百分点,环比增长约1个百分点。先进制程方面,AI芯片及高性能计算需求稳健、先进制程代工产能利用率饱满;成熟制程方面,一方面中低端消费电子需求逐渐恢复,产业链开始积极备货,另一方面地缘政治的持续影响促使下游客户拉货,带动成熟制程整体产能利用率显著回升。群智咨询预计2024年第四季度各主要晶圆代工厂平均产能利用率有望恢复至81-82%左右,代工价格也趋稳并寻求涨价可能。总体而言,成熟制程的降价潮已告一段落。

SEMI预计2024年全球半导体制造产能将增长6%。根据SEMI在《世界晶圆厂预测报告》中的预测,为了跟上芯片需求持续增长的步伐,全球半导体制造产能预计将在2024年增长6%,并在2025年实现7%的增长,达到每月晶圆产能3370万片(wpm, wafers per month)的历史新高(以8英寸当量计算)。5纳米及以下节点的产能预计在2024年将增长13%,主要受数据中心训练、推理和前沿设备的生成式人工智能(AI)的驱动。中国芯片制造商预计将保持两位数的产能增长,在2024年增长15%至885万(wpm)后,2025年将增长14%至1010万(wpm),几乎占行业总产能的三分之一。受益于英特尔建立foundry业务和中国产能扩张,预计2024年foundry领域的产能将增长11%,2025年将增长10%,到2026年将达到1270万(wpm)。

2.5. DRAM与NAND Flash月度现货价格环比回落
2024年12月DRAM指数环比回落,部分DRAM现货价格环比有所分化。根据中国闪存市场的数据,2024年12月DRAM指数环比下跌1.77%。根据DRAMexchange的数据,DDR4 8Gb(512Mx16)3200的12月现货价格环比下跌2.50%;DDR4 16Gb(1Gx16)3200的12月现货价格环比上涨5.18%;DDR5 16G(2Gx8)4800/5600的12月现货价格环比下跌1.47%。2023年9月至2024年12月DRAM指数上涨0.08%,DRAM价格进入调整阶段。

2024年12月NAND指数环比回落,部分NAND Flash现货价格环比有所分化。根据中国闪存市场的数据,2024年12月NAND指数环比下跌0.79%, TLC闪存256Gb的12月现货价格环比上涨3.57%,TLC闪存512Gb的12月现货价格环比下跌1.56%。2023年9月至2024年12月NAND指数上涨45%,NAND Flash价格进入调整阶段。

TrendForce预计DRAM合约价25Q1下跌0~5%,NAND Flash合约价25Q1下降10~15%。根据TrendForce的最新调查,2025年第一季进入淡季循环,DRAM市场因智能手机等消费性产品需求持续萎缩,加上笔记本电脑等产品因担心美国可能拉高进口关税的疑虑,已提前备货,进而造成DRAM均价下跌;其中一般型DRAM的跌幅预估将扩大至8%至13%,若计入HBM产品,价格预计下跌0%至5%。根据TrendForce的最新调查,2025年第一季NAND Flash供货商将面临库存持续上升,订单需求下降等挑战,平均合约价恐季减10%至15%;其中Wafer跌幅将收敛,模组产品部分,由于Enterprise SSD订单稳定,预期可缓冲合约价跌势;Client SSD及UFS则因消费性终端产品需求疲软,买家采购意愿保守,价格将持续下探。

2.6. 全球半导体设备季度销售额继续同比增长,预计2025年有望强劲增长
24Q3全球半导体设备销售额同比增长19%,中国半导体设备销售额同比增长17%。根据日本半导体制造装置协会的数据,2024年第三季度全球半导体设备销售额为303.8亿美元,同比增长19%,环比增长13%。根据日本半导体制造装置协会的数据,2024年第三季度中国半导体设备销售额为129.3亿美元,同比增长17%,环比增长6%,中国对成熟制程技术的需求仍较为强劲。

2024年11月日本半导体设备销售额同比增长35.2%。根据日本半导体制造装置协会的数据,2024年11月日本半导体设备销售额为4057.88亿日元,同比增长35.2%,连续第11个月实现同比增长,环比增长5.2%。日本半导体设备全球市场占有率达三成,仅次于美国位居全球第2。根据日本半导体制造装置协会的预测,在人工智能相关新支出需求的推动下,日本半导体设备销售额预计在2024年同比增长27%,达到4.03万亿日元(约270亿美元)。

SEMI预计2024年全球半导体设备销售额同比增长3.4%,2025年继续增长17%。根据SEMI在《年中总半导体设备预测报告》中的预测,预计2024年全球半导体制造设备总销售额将达到1090亿美元,同比增长3.4%;在前后端细分市场的推动下,预计2025年销售额将创下1280亿美元的新高,实现约17%的强劲增长;全球半导体行业正在展示其强大的基本面和增长潜力,支持人工智能浪潮中出现的各种颠覆性应用。从细分市场来看,包括晶圆加工、晶圆厂设施和掩模/掩模版设备在内的晶圆厂设备领域预计将在2024年增长2.8%,达到980亿美元,由于对先进逻辑和存储应用的需求增加,预计2025年晶圆厂设备领域的销售额将增长14.7%,达到1130亿美元;2024年半导体测试设备的销售额预计将增长7.4%,达到67亿美元,后端细分市场的增长预计将在2025年加速,预计2025年测试设备销售额将激增30.3%;2024年封装设备的销售额预测将增长10.0%,达到44亿美元,预计2025年封装设备销售额将激增34.9%。

SEMI预计2024年用于Foundry和Logic应用的晶圆厂设备销售额小幅下降,用于存储器市场的设备支出将显著增长。根据SEMI在《年中总半导体设备预测报告》中的预测,从应用来看,由于对成熟节点的需求疲软,以及2023年先进节点的销售额高于预期,2024年用于Foundry和Logic应用的晶圆厂设备销售额预计将同比下降2.9%至572亿美元,由于对前沿技术的需求增加、新设备架构的引入以及产能扩张采购的增加,预计2025年该细分市场将增长10.3%,达到630亿美元;随着供需正常化,NAND设备销售额预计在2024年将保持相对稳定,略增长1.5%至93.5亿美元,为2025年增长55.5%至146亿美元奠定了基础;2024年和2025年,DRAM设备的销售额预计将分别以24.1%和12.3%的速度强劲增长,这得益于用于人工智能部署和持续技术迁移的高带宽存储器(HBM)需求的激增。

SEMI预计未来几年全球300mm晶圆厂设备支出将呈现大幅成长趋势。根据SEMI在《300mm晶圆厂2027年展望报告(300mm Fab Outlook Report to 2027)》中的预测,2024年,全球300mm晶圆厂设备支出预计将增长4%,达到993亿美元,到2025年将进一步增长24%,首次突破1000亿美元,达到1232亿美元,预计2026年支出将增长11%,达到1362亿美元,2027年将增长3%,达到1408亿美元;从2025年到2027年,全球300mm晶圆厂设备支出预计将达到创纪录的4000亿美元,强劲的支出是由半导体晶圆厂的区域化以及数据中心和边缘设备对人工智能(AI)芯片日益增长的需求推动的;预计到2027年,中国将保持其作为全球300mm设备支出第一的地位,未来三年将投资超过1000亿美元。

2.7. 全球硅片季度出货量继续大幅下降, 预计2025年有望强劲反弹
2023年全球半导体材料销售额同比下降8.2%。2023年半导体行业处于去库存的过程中,晶圆厂利用率下降,从而材料消耗下降。根据SEMI的数据,2023年全球半导体材料销售额从2022年创下的727亿美元的市场纪录下降8.2%,至667亿美元;其中晶圆制造材料销售额下降7%至415亿美元,封装材料销售额下降10.1%至252亿美元;硅、光刻胶辅助设备、湿化学品和CMP领域的晶圆制造材料市场降幅最大,有机衬底领域在封装材料市场降幅中占了很大部分比例。

24Q3全球硅片出货量同比增长6.8%,环比增长5.9%。硅片是半导体产业链中最重要的材料之一,也是价值含量最高的半导体材料,占整个晶圆制造材料超过33%。根据SEMI的数据,2024年第三季度,全球硅晶圆出货量为3214百万平方英寸,比去年同期的3010百万平方英寸增长6.8%,环比增长5.9%。SEMI SMG主席,GlobalWafers副总裁李崇伟表示:“第三季度硅晶圆出货量延续了今年第二季度开始的上升趋势,整个供应链的库存水平有所下降,但总体上仍然很高,对用于人工智能的先进晶圆的需求仍然强劲,然而,汽车和工业用途的硅晶圆需求仍然疲软,而手机和其他消费品对硅的需求有一些改善;因此,2025年可能会继续呈上升趋势,但总出货量预计尚未恢复到2022年的峰值水平。”

SEMI预计2024年全球硅晶圆出货量将下降2%,2025年有望强劲反弹10%。根据SEMI的最新预测,2024年全球硅晶圆出货量预计将下降2%,至12174百万平方英寸,因为晶圆需求继续从下行周期中复苏,2025年强劲反弹10%,达到13328百万平方英寸,预计2027年硅晶圆出货量将继续强劲增长,以满足与人工智能和先进制程相关的日益增长的需求,全球半导体晶圆厂产能利用率提高,先进封装和HBM生产中新应用需要额外的晶圆,这导致了对硅晶圆需求的增加。

3. 行业政策
外部环境对中国半导体产业限制不断加剧。近年来美日荷不断加大对中国半导体产业的限制,主要针对半导体先进制造、先进制程半导体设备、先进存储器、先进计算芯片、EDA工具等环节。

4. 行业动态
4.1. 全球半导体行业动态
1、美国BIS发布出口管制新规
2024年12月3日消息,美国《联邦公报》最新文件显示,美国工业和安全局 (BIS) 修订了《出口管理条例》(EAR),这次制裁主要涉及半导体制造设备、存储芯片等物项的对华出口管制,并且扩展了对华出口管制的范围,包括了24种半导体制造设备、3种软件工具和HBM芯片出口的限制,将140个中国半导体行业相关实体添加到“实体清单”。
新进入“实体清单”的企业包括北方华创、盛美上海、芯源微、拓荆科技、华峰测控、中科飞测、精测电子、华海清科、凯世通、至纯科技、武汉新芯、华大九天、沪硅产业、南大光电、闻泰科技、建广资本、智路资本等。(美国BIS,集微网,新浪)
2、四大行业协会呼吁国内企业审慎选择采购美国芯片
2024年12月3日消息,中国互联网协会、中国汽车工业协会、中国半导体行业协会、中国通信企业协会集体发布声明,呼吁国内企业审慎选择采购美国芯片。
中国半导体行业协会:美国芯片产品不再安全、不再可靠,中国相关行业将不得不谨慎采购美国芯片。
中国汽车工业协会:为保障汽车产业链、供应链安全稳定,建议中国汽车企业谨慎采购美国芯片。
中国互联网协会:呼吁国内企业审慎选择采购美国芯片。
中国通信企业协会:为保障信息通信行业的产业链、供应链安全稳定,应谨慎采购美国芯片。(中国半导体行业协会,中国汽车工业协会,中国互联网协会,中国通信企业协会)
3、腾讯混元大模型上线并开源文生视频能力
2024年12月3日消息,腾讯公司宣布,其混元大模型成功上线视频生成能力,标志着继文生文、文生图、3D生成之后,腾讯在AI领域再次实现重大技术突破。该模型的参数量高达130亿,成为当前最大的视频开源模型。
混元大模型支持中英文双语输入,并具备“超写实”的视频生成能力,画面质量高,不易变形。在镜面或镜子场景中,模型能实现镜面反射动作与外部场景的完全同步,光影反射效果符合物理规律。
混元大模型采用了DiT架构,并结合新一代文本编码器,有效提升了语义遵循能力。这使得模型在描绘多个主体时更加精准,能够实现更细致的指令和画面呈现。
感兴趣的用户可在腾讯元宝App中的“AI应用”板块选择“AI视频”申请试用。同时,企业客户可通过腾讯云提供服务接入,目前API已同步开放内测申请,此次开源行动涵盖了模型权重、推理代码、模型算法等完整模型,免费提供给企业和个人开发者使用。(腾讯)
4、OpenAI连更首日发布“满血版”o1和ChatGPT Pro
2024年12月6日消息,OpenAI年末狂欢“Day 1”开启,发布两项重磅更新,o1模型“满血版”,以及价值200美元/月的ChatGPT Pro。
相较于三个月前发布的o1-preview,o1的智能水平、处理速度、多模态能力均有明显变化。通过模型解决数学竞赛题、编程竞赛题的结果呈现,o1对比o1-preview的智能水平普遍上升40%-50%,不过在博士级别科学问题的处理上,o1表现反倒稍逊o1-preview。
在ChatGPT Pro模式下,用户可以无限制使用各种高阶模型,包括高级语音模式。(腾讯)
5、OpenAI正式发布Sora
2024年12月10日消息,OpenAI 正式发布了文生视频产品 Sora,整体来说,Sora 展示的一系列产品功能,表明其在视频生成的质量、功能的独创性、技术的复杂度等方面,远远超出了目前的文生视频产品。
在文、图生视频的基础功能之上,它加入了故事板(相当于通过分镜创作自己的故事)、用文本调整原视频、不同场景视频的融合等功能(相当于给视频直接加特效),整个产品功能设计似乎都在让视频更接近创作者的自我表达、帮助他们完成一个理想的镜头故事。
OpenAI并没有单独针对 Sora 收费,20 美元/月的 ChatGPT Plus 会员、以及 200 美元/月的 ChatGPT Pro 会员,都可以使用 Sora。(腾讯)
6、美商务部再将中国两大AIoT龙头列入实体清单
2024年12月10日消息,美国商务部工业与安全局(BIS)更新出口管制清单,将中国(2个)、俄罗斯(4个)、缅甸(2个)共8家实体列入实体清单。此轮新增2家中国企业实体包括浙江宇视科技有限公司(Zhejiang Uniview Technologies Co. Ltd.),以及北京中盾安全技术集团有限公司(Beijing Zhongdun Security Technology Group co., Lt)。(美国BIS官网)
7、谷歌发布新一代大模型Gemini 2.0
2024年12月12日消息,谷歌正式发布 Gemini 2.0,号称是谷歌迄今为止功能最强的 AI 模型,带来了更强的性能、更多的多模态表现(如原生图像和音频输出)和新的原生工具应用。
Gemini 2.0 在关键基准测试中相对于 Gemini 1.5 Pro 实现了大幅性能提升而且延迟更低,谷歌官方的表述是“关键基准测试中超越了 1.5 Pro,速度是其两倍”。
Gemini 2.0 除了支持图像、视频和音频等多模态输入外,现在还支持多模态输出,例如与文本混合的原生文生图、可自定义的文本转语音 (TTS) 多语言音频内容。此外,它还支持原生调用工具,如 Google 搜索、代码执行以及第三方用户定义函数等等。
谷歌 Gemini 2.0 Flash 对原生用户界面操作实现了多方面的改进,例如多模态推理、长上下文理解、复杂指令遵循和规划、组合函数调用、原生工具使用等,并进一步优化了延迟问题。
谷歌表示:AI 智能体的实际应用是一个激动人心、充满可能性的研究领域。我们正在通过一系列原型探索这个新领域,这些原型可以帮助人们完成任务并把事情做好,其中包括对 Project Astra 的更新,Project Astra 是我们探索通用人工智能(AGI)未来功能的研究原型;新的 Project Mariner 则将从你的浏览器开始探索人机交互的未来;以及 Jules,这是一个可以帮助开发人员的 AI 代码智能体。
即日起,开发人员便可在 AI Studio 和 Vertex AI 中对 Gemini 2.0 Flash 实验版本进行试用(文本转语音和原生图像生成仅供早期访问合作伙伴使用,但所有开发者均可使用多模态输入和文本输出,预计将于 1 月广泛开放),而且该版本也已经在网页版中为 Gemini Advanced 开放试用,移动版后续推出。(IT之家 )
8、谷歌发布Android XR操作系统,开启混合现实新篇章
2024年12月13日消息,谷歌正式宣布推出与三星合作开发的新操作系统Android XR,Android XR专为扩展现实(XR)头显和智能眼镜设计,旨在为用户带来前所未有的沉浸式体验。
Android XR将首先搭载于三星设计的头显上,预计于2025年面世。这款操作系统不仅支持用户在虚拟环境中自由穿梭,还能让用户随时回归现实世界,实现虚拟与现实的灵活切换。谷歌的AI助手Gemini也将入驻Android XR,为用户提供智能规划、研究辅助和任务指导等多样化服务。
此外,Android XR还将为用户带来丰富的娱乐和办公体验。用户可以在虚拟大屏幕上观看YouTube视频,通过Google Photos欣赏3D图像,甚至还能在Google Maps中体验沉浸式导航,在Chrome上实现多任务处理。值得一提的是,Google Play上的移动和平板应用也将与Android XR兼容。(新浪)
9、OpenAI推出ChatGPT搜索功能
2024年12月17日消息,OpenAI宣布ChatGPT搜索正式全球上线,免费用户登录即可使用。同时,OpenAI对ChatGPT的搜索功能进行了大量更新。
此次全球上线的搜索,着重对搜索速度和准确性进行了优化。用户在进行搜索时,能够迅速获得更加精准的结果,大大提高了信息访问的整体效率。同时,搜索功能现支持嵌入式内容,比如YouTube视频、图片和电影等,为用户带来更便捷的体验,用户现在可以在ChatGPT中观看视频,而无需离开原始搜索页面。
此外,OpenAI还更新了搜索结果的展示方式,对于Netflix或旅行预订网站等网页的链接,将优先于ChatGPT生成的纯文本答案呈现。这一优化使得用户在搜索商业服务或娱乐资源时,能够更快捷地定位到关键信息,提升搜索体验的实用性。
在地图集成方面,ChatGPT集成了全新的地图功能,用户可以直接在搜索结果中查看周边地理位置信息,进行路线规划和地点探索。在高级语音方面,用户可以与ChatGPT进行更自然的多轮搜索对话,更像是一位语音搜索管家;移动端优化,用户可以在安卓、iOS、平板等移动端更好地使用搜索功能,效率提升40%以上。而在实时搜索方面,OpenAI对搜索的算法进行了深度优化,可在用户提出问题后获取实时内容(分钟级别),包括股票、新闻等。(新浪)
10、火山引擎2024冬季force原动力大会召开
2024年12月18日消息,火山引擎2024冬季force原动力大会召开,大会上提出豆包大模型的日均调用量在高速的增长,2024年5月豆包大模型的日均tokens调用量为1200亿,7月增长到5000亿,9月达1.3万亿,截止2024年12月15日已经突破了4万亿,在7个月的时间里增长超过33倍。豆包大模型在各个场景都在全面的开发,在信息处理场景,最近三个月豆包的调用量增长了39倍,它能帮助企业更好的去分析和处理数据。
大会上正式发布了豆包视觉理解模型,并对豆包大模型家族进行了全面升级。
豆包视觉理解模型具有低价优势,千 tokens 输入价格仅为 3 厘,一元钱就可处理 284 张 720p 的图片,比行业价格便宜 85%,极大地降低了企业应用多模态大模型的门槛和成本,推动 AI 技术普惠和应用发展。豆包视觉理解模型性能强大,不仅具有高精度识别视觉内容的能力,还展现了出色的理解与推理能力,能够基于图像信息进行复杂的逻辑运算,胜任诸如分析图表、处理代码以及解答学科问题等多种任务,并且对视觉内容中呈现的知识、文化背景等信息有更好的识别能力,可更好地基于指令进行视觉内容识别,对中国传统文化信息也有更强的理解,在教育、旅游、电商购物等多个领域展现出广泛的应用潜力,目前该模型已成功接入豆包 app 及 pc 端产品。
豆包大模型家族进行了全面升级,豆包通用模型 pro综合能力上提升 32%,数学能力提升 43%,专业知识提升 54%,推理能力提升 13%。已全面对齐 gpt-4o,使用价格仅为后者的 1/8。豆包音乐大模型:如今能够根据描述或图片自动生成 3 分钟结构完整的音乐作品,并支持 10 余种不同的风格和情绪的随心选。豆包文生图大模型包括一键 p 图和一键海报两大亮点功能。
目前,豆包大模型已经与八成主流汽车品牌合作,并接入到多家手机、PC等智能终端,覆盖终端设备约3亿台,来自智能终端的豆包大模型调用量在半年时间内增长100倍。(新浪,火山引擎)
11、OpenAI推出o3模型
2024年12月21日消息,OpenAI CEO 山姆·奥特曼在直播中宣布了新一代 o3 家族的诞生,包括 o3 和 o3-mini 两个版本,这是对今年早些时候发布的 o1 模型的全面升级。
目前,o3和 o3-mini 尚未对公众广泛开放。OpenAI 计划首先向安全研究人员开放测试权限。奥特曼表示,o3-mini 将于明年 1 月底推出,并在不久后发布 o3。
根据 OpenAI 目前公布的信息,o3 展现出了前所未有的性能,不过在高算力设置下,单个任务的计算成本也是相当高昂(数千美元)。
在多项基准测试中,o3 不仅超越了前辈 o1,更是几乎是碾压所有其他主流 AI 模型。
例如,在 2024年AIME美国数学邀请赛考试中,o3 仅做错一道题,取得了 96.7%的高分。
在研究生水平的生物、物理和化学问题集 GPQA Diamond 测试中,该模型取得了 87.7%的成绩。这意味着,面对此类科学知识,它的水平已经接近专业研究生水平。
更令人瞩目的是,在 EpochAI 的 FrontierMath 数学难题基准测试中,o3 解决了25.2%的问题,而在此前的研究中,其他所有模型的成绩甚至都未能超过2%。
o3 的另一项重要突破是在 ARC-AGI 基准测试中的表现。这是一项自 2019 年创建以来一直未被攻克的视觉推理基准测试,用于评估 AI 系统能否在训练数据之外高效地获取新技能。
在高算力设置下,o3 取得了 87.5%的成绩,超过了人类 85%的平均水平。即使在低算力设置下,它也取得了 75.7%的成绩,是 o1 性能的三倍。(腾讯)
12、美国宣布对中国传统芯片发起贸易调查
2024年12月23日消息,拜登政府宣布对中国制造的"传统半导体进行最后一刻的贸易调查,这可能会对来自中国的芯片征收更多美国关税,这些芯片用于汽车、洗衣机和电信设备等日常用品。
拜登政府官员表示,对中国成熟芯片"301条款"调查于当选总统特朗普1月20日就职前四周启动,将于2025年1月移交给特朗普政府完成。此举可能为特朗普提供一条现成的途径,开始对中国进口产品征收他所威胁的60%的高额关税。
即将离任的总统拜登已经对中国半导体征收了50%的关税,该关税将于1月1日开始生效。他的政府已经加强了对中国先进人工智能和存储芯片以及芯片制造设备的出口限制,并且最近还提高了对中国晶片和多晶硅征收的关税至50%。
负责开展这项新调查的美国贸易代表办公室表示,此举旨在保护美国和其他市场驱动的芯片生产商,免受中国大规模增加国内芯片供应的影响。传统芯片采用较老、较成熟的制造工艺,广泛应用于大众市场。它们不包括用于人工智能应用的先进芯片或复杂的微处理器。(集微网)
13、商务部新闻发言人就美对中国芯片产业相关政策发起301调查发表谈话
2024年12月23日消息,美贸易代表办公室宣布针对中国芯片产业相关政策发起301调查。中方对此强烈不满,坚决反对。美301调查具有明显的单边、保护主义色彩。此前美对华301关税已被世贸组织裁定违反世贸规则,受到众多世贸成员的反对,中方已多次向美方提出严正交涉。美方出于对华打压及国内政治需要,对中国芯片产业相关政策发起新的301调查,将扰乱和扭曲全球芯片产业链供应链,也会损害美国企业和消费者的利益,是一错再错。美方通过《芯片与科学法》为本国芯片产业提供巨额补贴,美企业占据全球芯片市场近一半的份额,却指责中方所谓“非市场做法”,渲染中国产业威胁,这明显自相矛盾,完全站不住脚。美商务部不久前发布的成熟制程芯片报告显示,中国产芯片仅占美市场份额的1.3%。中国芯片对美出口,远低于自美进口。中方敦促美方尊重事实和多边规则,立即停止错误做法。中方将密切关注调查进展,并将采取一切必要措施,坚决捍卫自身权益。(财联社)
14、高性能低成本大模型DeepSeek V3发布
2024年12月27日消息,中国人工智能公司DeepSeek发布了一款具有里程碑意义的开源大语言模型--DeepSeek V3。DeepSeek-V3 是一个 6710 亿参数的专家混合(MoE,使用多个专家网络将问题空间划分为同质区域)模型,激活参数 370 亿,在 14.8 万亿 token 上进行了预训练。多项评测成绩超越 Qwen2.5-72B 和 Llama-3.1-405B 等开源模型,性能比肩 GPT-4o 和 Claude-3.5-Sonnet 等世界顶尖闭源模型。
DeepSeek V3的卓越性能和高效开发过程是其突出特点。在编程平台Codeforces的竞赛中,DeepSeek V3展现了其卓越的编程能力,而在测试代码集成能力的Aider Polyglot测试中,它更是领先于竞争对手。模型的训练基于14.8万亿token的庞大数据集,参数规模达到了Llama3.1的1.6倍,这为其出色的性能提供了坚实的数据基础。
此外,DeepSeek V3在长文本处理、代码生成和数学推理等多个领域都展示了顶尖的性能。特别是在中文任务和数学基准测试中,DeepSeek V3的表现尤为突出,展现了其深刻的理解和处理能力。通过算法和工程上的优化,DeepSeek V3在生成速度上实现了三倍提升,从20 TPS提高到60 TPS,极大改善了用户的交互体验和模型响应速度。
在预训练阶段,DeepSeek-V3 每处理 1 万亿个词元仅需 18 万小时的 H800 GPU 时间,使用配备 2048 块 H800 GPU 的集群,只需 3.7 天即可完成。整个预训练耗时不到两个月,总计使用 266.4 万 GPU 小时。此外,上下文长度扩展耗费 11.9 万 GPU 小时,后期训练(如监督微调和强化学习)耗费 5000 GPU 小时,总训练时长为 278.8 万 GPU 小时。按每 GPU 小时 2 美元的价格计算,DeepSeek-V3 的整体训练成本约为 557.6 万美元。这一数字仅涵盖正式训练阶段的花费,不包括在模型架构、算法设计或数据处理上的前期研究和消融实验费用,但它远低于通常训练大型语言模型所需的数亿美元。例如,Llama-3.1 的训练成本估计超过 5 亿美元。
DeepSeek V3的问世,在人工智能领域掀起了波澜。这款开源大语言模型以其卓越的性能和创新的技术特点,迅速赢得了业界领袖和专家的广泛赞誉和关注。(腾讯)
4.2. 河南省半导体行业动态
1、2024传感器大会成功召开
2024年12月1日消息,以“感知世界智创未来”为主题的2024传感器大会于2024年12月1日在郑州国际会展中心隆重召开。本次大会主论坛主旨报告由常年耕耘于传感器领域的2位院士和2位行业专家带来,包括检测装备、医疗传感器、工业传感器及MEMS技术应用等方面。
中国工程院院士钱锋致辞,强调河南作为中国传感器产业重要基地,需强化基础研究和技术创新。市委副书记、市长何雄致欢迎词,表示郑州将提供最优质供给,共创传感产业新生态。
大会签约30个项目,发布《2024年传感器十大园区发展报告》。2024传感器大会为传感器领域发展提供了交流合作平台,推动了行业技术进步与创新应用。(河南省智能传感器行业协会,芯榜)
2、2024河南省新型显示与智能终端产业链对接活动在郑举行,助力地方经济迈向新高峰
2024年12月29日消息,由河南省工业和信息化厅、河南省科学院、航空港区管委会联合主办的2024河南省新型显示和智能终端产业链对接活动在郑州航空港区隆重召开。这场活动以“显示世界智引未来”为主题,吸引了200余位来自全国各地的显示行业专家学者和企业精英,齐聚一堂,共同交流探讨新型显示和智能终端产业的发展趋势、技术创新及市场应用等关键议题,赋能产业新发展。
新型显示与智能终端产业链是河南省重点打造的战略性优势产业。目前,全省产业链的能级稳步跃升,整机及配套产业规模接近6000亿元,拥有千亿级企业两家、百亿级企业三家以及十亿级企业八家,较去年稳步提升。今年1至10月,河南省生产手机1.08亿部,位居全国第二,逐渐成为全球重要的智能终端生产基地。
在产业链发展方面,河南正朝着完善创新体系的目标努力,先后成立了河南省科学院新型显示技术研究所、河南省柔性电子产业技术研究院等多个高能级创新平台,进一步提升了自主研发能力。从智能手机的精密制造,到显示靶材、电子特气及机构件等配套产品的稳定供应,河南省在多个领域均展现出强劲的竞争力。
总体来看,通过2024河南省新型显示与智能终端产业链对接活动的召开,充分彰显了河南省在新技术应用与产业智能化转型方面的决心。未来,随着产业链的不断完善与创新能力的提升,河南的智能终端和新型显示领域必将在更广阔的舞台上绽放光芒,为经济的发展和社会的进步注入活力。(搜狐)
5. 估值分析与投资建议
5.1. 估值分析
目前半导体行业PE估值高于近十年中位值及平均值。目前申万半导体行业PE(TTM)约为83倍,近十年申万半导体行业PE(TTM)最大值约为189倍、最小值约为32倍,申万半导体行业PE(TTM)近十年中位值约为75倍、平均值约为82倍,目前半导体行业PE估值高于近十年中位值及平均值。

5.2. 投资建议
根据火山引擎2024冬季force原动力大会披露的数据,豆包大模型的日均调用量在高速的增长,2024年5月豆包大模型的日均tokens调用量为1200亿,7月增长到5000亿,9月达1.3万亿,截止2024年12月15日已经突破了4万亿,在7个月的时间里增长超过33倍。豆包大模型在各个场景都在全面的开发,在信息处理场景,最近三个月豆包的调用量增长了39倍,它能帮助企业更好的去分析和处理数据。字节跳动豆包为国内领先AI大模型,豆包AI生态加速发展,有望引领国内大模型厂商发力AI生态,进一步推动国产厂商加大AI算力投资,建议关注AI算力芯片、铜连接、PCB、服务器电源、液冷系统等AI算力产业链投资机会。
6. 风险提示
下游需求不及预期;
市场竞争加剧风险;
国内厂商研发进展不及预期;
国产化进度不及预期;
国际地缘政治冲突加剧风险。
